18516556639
分子式:深蓝色粉末
分子量:556.18
CAS 号:1223357-57-0
外 观:深蓝色粉末
分子式:C43H46ClN3O
分子量:656.30
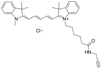
分子式:C40H48ClN3O
分子量:622.28
CAS 号:1998119-13-3(氯化物),1954687-62-7
外 观:绿色粉末
分子式:C48H52ClN3O
分子量:722.40
外 观:深绿色粉末
分子式:C25H15O6N
分子量:413.38
CAS 号:510758-19-7
外 观:黄色固体
CAS 号:478801-49-9
分子式:C30H29N3O4
分子量:495.57
外 观:深色固体
分子式:C36H33N3O4
分子量:571.66
CAS 号:2264016-88-6
外 观:紫色固体
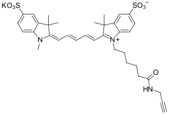
分子式:C33H38KN3O7S2
分子量:691.90
CAS 号:2055138-87-7(内盐); 2055138-88-8(钠盐)
外 观:深红色粉末
分子式:C35H40N3KO7S2
分子量:717.94
CAS 号:1617572-09-4(内盐); 1617497-19-4(钠盐)
外 观:深蓝色固体