18516556639
分子式:C26H28N4O3
分子量:444.53
CAS 号:2252168-06-0
外 观:微黄色固体
分子式:C24H20N6O4
分子量:456.45
外 观:红色粉末/黄色溶液
分子式:C30H32N6O4
分子量:540.61
外 观:橙色至棕色粉末
分子式:C36H36N6O4
分子量:616.71
外 观:深红色粉末/红色溶液
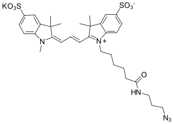
分子式:C33H41N6KO7S2
分子量:736.94
CAS 号:2055138-89-9(钠盐),1658416-54-6
外 观:深红色晶体
分子式:C35H43N6KO7S2
分子量:762.98
外 观:深蓝色晶体
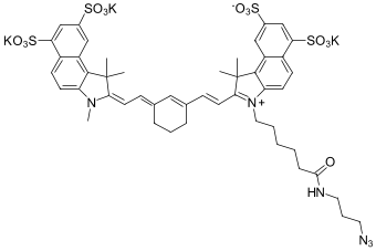
分子式:C43H45K3N6O13S4
分子量:1099.41
CAS 号:2382994-65-0
外 观:深色固体
分子式:C40H49N6KO7S2
分子量:829.08
外 观:深绿色粉末
分子式:C48H51N6K3O13S4
分子量:1165.51